Logo Clubplaneta
Buscar en el portal

Compártenos
FacebookTwitterGoogleCorreoPin it
/www.economia.com.mx/ >Seguimiento a emisoras>Seguimiento a emisoras, enero del 2019>5 observaciones de análisis técnico. (28/01/2019)

5 observaciones de análisis técnico. (28/01/2019)

1 ARA, tratando de superar zona de resistencia.

ARA, en su gráfica semanal, está tratando de superar una importante zona de resistencia donde coinciden la media móvil de 14 semanas, el 23.6% de la proyección de alza y la línea 1-3 de una onda de Wolfe. Atento si se da el rompimiento. En la gráfica diaria la resistencia está siendo la media simple de 50 días.

gráfica técnica semanal de ara

2 MEXCHEM, también en resistencia semanal

El las observaciones del viernes se menciona que Mexchem está sufriendo rechazo en la media móvil de 50 días. En la gráfica semanal se observa también resistencia en la línea 1-3 coincidente con la media simple de 200 semanas y una resistencia de Fibonacci. Ese nivel está complicado.

gráfica técnica semanal de mexchem

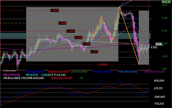
3 LALA tiene una onda de Wolfe bajista.

LALA tuvo una recuperación muy vertical que ahora nos permite trazar una onda de Wolfe bajista. No se ha dado la señal de corto, asi que valdría esperar a que el precio cierre por debajo de la ema de 8 días. El Stop sería en cuanto haga un nuevo máximo.

gráfica técnica de lala

4 CEMEX, no pudo con la resistencia semanal

Revisar la gráfica semanal en búsqueda de resistencias es muy importante. CEMEX no pudo en las semanas anteriores con el 23.6% de la proyección de alza, coincidente con el nivel del punto 3 de la onda de Wolfe. La onda alcista semanal sigue vigente, pero este tipo de resistencias permite muchas veces surfear la ola.

gráfica técnica semanal de cemex

5 GFAMSA, llegó al 76.4 de la proyección de baja semanal.

GFAMSA, con su onda de Wolfe bajista, llegó al 76.4% de mi proyección de baja. A tenerla en la mira por si comienza a hacer algún movimiento que indique alza.

gráfica técnica semanal de gfamsa

¿Tienes alguna duda o comentario? Opina abajo en la sección de comentarios.

Autor:Bernardo BMV

5 observaciones de análisis técnico. (29/01/2019) | 5 observaciones de análisis técnico. (25/01/2019)

Seguimiento a emisoras, enero del 2019
Seguimiento a emisoras

Zona de comentarios

Política de Privacidad Anúnciate aquí Contacto

Aviso de responsabilidad